
धादिङ असोज १८ । नेपाल कम्युनिष्ट पार्टी (नेकपा) को सहायक संगठन राष्ट्रिय युवा संघ नेपालको केन्द्रिय कमिटिमा धादिङबाट ८ जना परेका छन् ।
युवा संघ नेपालका अध्यक्ष रामप्रसाद सापकोटाले सार्वजनिक गरेका ३ सय ३१ जना केन्द्रिय समितिको नाम लिस्टमा धादिङबाट पूर्व एमाले निकट युवा संघबाट ७ जना र पूर्व माओवादी केन्द्रको वाईसिएलबाट १ जना गरि ८ जनाको नाम परेको हो।
धादिङबाट राष्ट्रिय युवा संघ नेपालको केन्द्रिय सदस्यमा धादिङबाट क्रान्ति बुर्लाकोटी, चन्द्रबहादुर सिलवाल (मिलन), दिपक दुवाडी, प्रज्वल तामाङ, रमेश आचार्य, विष्णुहरि त्रिपाठी, वेगबहादुर पाण्डे र सन्तोष सिलवाल रहेका छन् ।
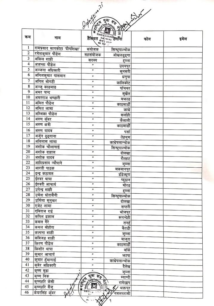
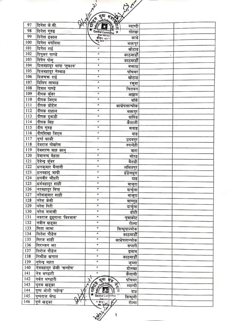
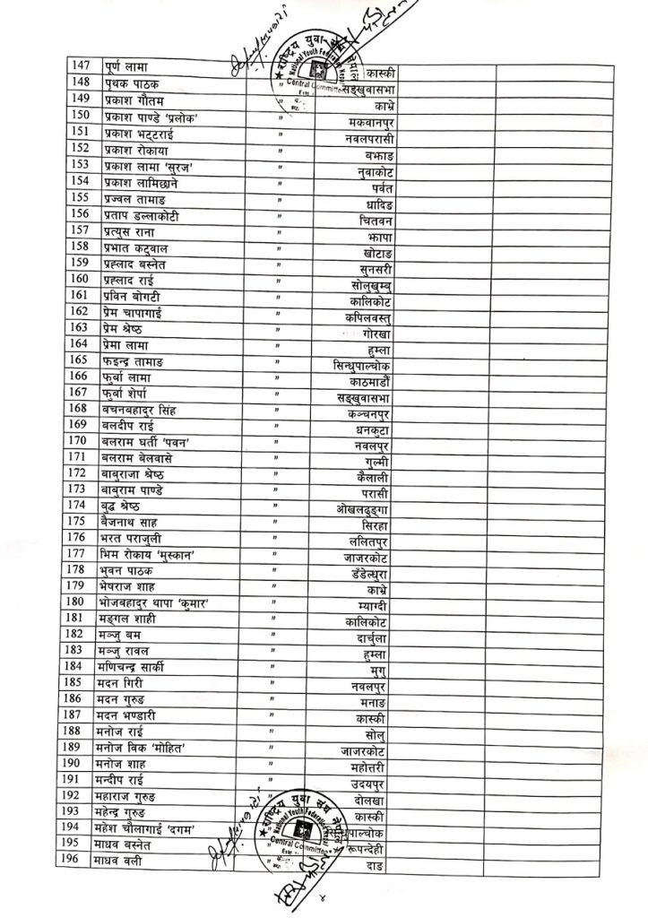
राष्ट्रिय युवा संघ नेपालको केन्द्रीय समितिको नामावली








